Microbioma gástrico y relación con el desarrollo de cáncer gástrico
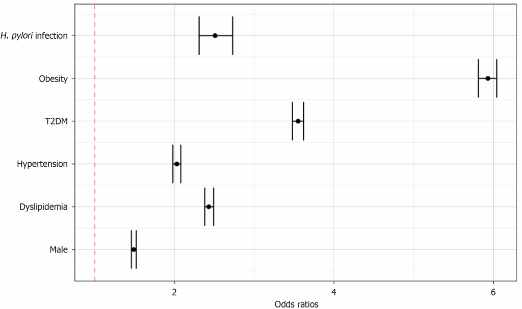
La influencia del Helicobacter pylori, inhibidores de bombas de protones, y obesidad en el microbioma gástrico con relación al desarrollo de cáncer gástrico The influence of Helicobacter pylori, proton pump inhibitor, and obesity on the gastric microbiome in relation to gastric cancer development. Zhou, Chengliang, et al. «The influence of Helicobacter pylori, proton pump inhibitor, and obesity on the gastric microbiome in relation to gastric cancer development.» Computational and Structural Biotechnology Journal 23 (2024): 186-198. La infección por Helicobacter pylori (H. pylori) sigue siendo el principal factor de riesgo para el desarrollo de cáncer gástrico (CG), pero este estudio trata de analizar el papel del microbioma gástrico en la carcinogénesis gástrica, más allá de H. pylori. Para ello, se investigó la composición del microbioma gástrico en individuos sanos, en presencia y ausencia de infección por H. pylori, en tratamiento con inhibidores de la bomba de protones (IBPs), en individuos obesos y en pacientes con CG. Un hallazgo común entre los estudios fue el aumento de los niveles de Streptococcus, Prevotella, Neisseria y Actinomyces en individuos sanos o en aquellos con gastritis sin presencia de H. pylori. En los usuarios de IBP, el riesgo de CG aumenta con la duración del tratamiento y el microbioma gástrico experimenta cambios, siendo el género Streptococcus el que presenta un crecimiento más pronunciado. Se observa el mismo incremento de Streptococcus en individuos obesos, suponiendo un aumento de riesgo de CG. En múltiples estudios, los géneros Streptococcus, Lactobacillus y Prevotella fueron más prominentes en pacientes con CG. Los posibles mecanismos por los cuales la microbiota no relacionada con H. pylori podría contribuir al CG incluyen la producción de lipopolisacáridos, la participación en vías inflamatorias y la formación de compuestos como N-nitroso y especies reactivas de oxígeno. En conclusión, el conocimiento sobre el microbioma gástrico en el CG es principalmente descriptivo y se basa en la secuenciación de muestras de la mucosa gástrica. Para una mejor comprensión del papel de los microorganismos en el desarrollo del CG, se deben emplear cohortes longitudinales que incluyan lesiones precancerosas, diferentes regiones del estómago, y subtipos de CG, entre otros. ver artículo




